Goniometricke funkcie
Ako som uz spominal na konci rubriky o Pytagorovej vety, v tejto casti sa budem zaoberat goniometrickymi funkciami.
Definicia: Goniometricke funkcie vyjadruju vztah medzi velkostmi ostrych uhlov v pravouhlom trojuholniku a pomermi dlzok stran daneho trojuholniku... Mame trojuholnik ABC so stranami a,b,c:

Plati potom vztahy
:
Toto pravidlo by platilo i keby sme chceli pocitat uhol naprotilahlom uhlu, teda uhlu pri bode B. V tomto pripade by sa strana a zmenila na přilehlu odvěsnu a strana b by sa zmenila na protilehlú odvěsnu. NO sposob pocitania by zostal rovnaky.
Obcas je lepsie a prehladnejsie goniometricke funkcie vyjadrovat pomocou tzv. jednotkovej kruznice
. Pomocou tejto kruznice su definovane funkcie sinus, cosinus, tangens a cotangens, kde mozme jasne vidiet vztahy odvesien a predpony.
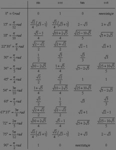
Pre jednoduchost pocitania je mozne casto najst tabulku pre zakladne vypocty goniometrickych funkcii, ktore prevadzaju goniometricke funkcie zakladnych uhlov ako je 0°, 30° ,45° ,60° ,90° do zlomkoveho tvaru pre jednoduchsie pocitanie. Kedze sa mi dost casto stava, ze potrebujem pocitat uhly zlozitejsie nez su zakladne preto sem uvediem rozsirenu tabulku .
Ako mozeme vidiet, su tu prevody na zlomky aj pre neobvykle uhly ako je 18° ,36° , 67° 37` , atd. Samozrejme takych to prepoctov goniometrickych funkcii do zlomkoveho tvaru je nespocetne vela a odvodit si ich mozete i s trochou goniometrickych znalosti i sami. No vecsinou vam budu staciet tie zakladne
Goniometricke funkcie sa daju ece pocitat pomocou nekonecnyc radov a limit. V tomto pripade konkretne podla Taylorovho radu.
fakta o goniometrickych fciach:
- funkcia sin(x) je vzdy neparna fcia, plati sin(-x) = - sin(x)
- funkcia cos(x) je vzdy parna fcia, plati cos(-x) = cos(x)
- funkcia tg(x) je vzdy neparna fcia, plati tg(-x) = - tg(x)
- funkcia cotg(x) je vzdy neparna fcia, plati cotg(-x) = - cotg(x)
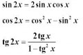
a nakoniec... casto vyuzivane vzorce, ktore sa vam budu urco hodit:
Zakladne kere potrebujete pre zakladne operacie s goniometrickymi funkciami
A taktiez vzorce kere budete potrebovat menej, ale obcas sa celkom hodia
Komentáře
Přehled komentářů
Услуги ремонт автомобиля — быстро и рядом
(RobKep, 4. 12. 2025 12:17)Профессиональные услуги ремонт автомобиля https://auto-5-box.ru/remont-avto-spb.html в СПб. Быстро устраняем неисправности, работаем без очередей, прозрачный прайс. Диагностика любого уровня сложности. Узнай стоимость сегодня!
Reconnect with your body's wisdom and unlock metabolic health through practical daily actions.
(MetabolicFreedomurinc, 24. 11. 2025 6:37)Metabolic Freedom helps you build a resilient metabolism that thrives under real-life conditions. https://metabolicfreedom.top/ metabolic freedom book com
уборка коттеджей недорого
(RichardBuich, 16. 10. 2025 19:28)Уборка домов в СПб — оперативно, аккуратно, с безопасной средствами. Заходите https://uborka-domov24spb.ru - Заказать уборку дома Акция для новых клиентов. Свяжитесь с нами — приезжаем по договорённости.
Best the best database for data leaks
(SteveLum, 17. 9. 2025 8:03)
Antipublic – Find what google can’t find
Great in data leak: With over 20 billion collected passwords
Super fast search speed: Allows easy and super fast search of any user or domain.
Many options for buy, many discout. Just 2$ to experience all functions, Allows downloading clean data from your query.
Go to : https://antipublic.net/referral?code=REF4YIJHD8R
1 | 2 | 3 | 4 | 5 | 6 | 7 | 8 | 9 | 10 | 11 | 12 | 13 | 14 | 15 | 16 | 17 | 18 | 19 | 20 | 21 | 22 | 23 | 24 | 25 | 26 | 27 | 28 | 29 | 30 | 31 | 32 | 33 | 34 | 35 | 36 | 37 | 38 | 39 | 40 | 41 | 42 | 43 | 44 | 45 | 46 | 47 | 48 | 49 | 50 | 51 | 52 | 53 | 54 | 55 | 56 | 57







Официальный сайт казино Azino 777
(JPTFaist, 6. 12. 2025 22:42)